0 前言
本文承接上一篇博文拉格朗日乘子法和KKT条件http://www.cnblogs.com/liaohuiqiang/p/7805954.html,讲讲拉格朗日对偶性的问题。
在约束优化问题中,常常用拉格朗日对偶性来将原始问题转为对偶问题,通过解对偶问题的解来得到原始问题的解。
1 为什么要利用对偶?
首先要明确,对偶问题的解不一定直接等于原问题的解(弱对偶),但是,对偶问题有两点性质。
1.1 满足某些条件时,对偶问题直接等于原问题的解(强对偶)
1.2 无论原始问题是否是凸的,对偶问题都是凸优化问题
显然,在某些情况下,直接对对偶问题求解可以得到原问题的解,而且对偶问题是凸优化,易于求解。所以利用对偶来求解是很有用的。
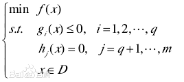
1 原始问题
考虑原始的优化问题如下

先定义拉格朗日函数
考虑函数
显然满足约束时函数等于f(x),不满足约束时函数等于正无穷,容易得到
极小化该函数得到的
和原始的优化问题是等价。同时,我们定义原始问题的最优值为
2 对偶问题
考虑函数
极大化该函数得到
我们把这个极大化问题视为对偶问题。同时,我们定义对偶问题的最优值为
3 原始问题和对偶问题的关系
可以得知 ,因为p是先求最大的一块区域然后在这块区域求最小,d是先求最小的一块区域然后在这块区域求最大,最大里面的最小,总会比最小里面的最大要大(或等于)。
,称为弱对偶,对于所有优化问题都成立,这个时候我们可以得到原始问题的一个下界。
如果 ,称为强对偶,满足某些条件才成立,这时可以用解对偶问题替代原始问题。那么满足什么样的条件可以得到强对偶呢?
如果原问题是一个凸优化,并且不等式约束g(x)是严格可行的,即存在x对所有i有 ,那么强对偶成立。这里需要注意的是,这里的条件只是强对偶成立的一种情况,对于非凸的问题也有可能是强对偶。
强对偶成立时,将拉格朗日函数分别对原变量x和对偶变量α和β分别求导,令导数等于零(还需要满足KKT条件),即可求解对偶问题的解,也就求得了原问题的解。
4 对偶求解和拉格朗日乘子法求解
对于拉格朗日乘子法求解,当原问题是凸优化的时候,考虑满足KKT的条件,对于拉格朗日函数求导等于0即可得到解。
对于对偶问题求解,转换为对偶函数求解,为了得到原始问题的解,要求强对偶,而在强对偶(不一定满足原问题凸优化)的情况下,考虑满足KKT的条件,对于拉格朗日函数求导等于0即可得到解。
当原问题是凸优化的时候,强对偶和KKT条件是互为充要条件的。
